План рассказа Черепаха Толстого

: «Научно-популярные рассказы». Л.Н. Толстой. «Черепаха».
план-конспект занятия по чтению (4 класс) на тему

Цели урока: 1.Продолжать знакомить учащихся с творчеством Л.Н. Толстого

2.Учить самостоятельно формулировать тему и цели урока.

Способствовать формированию таких основ читательской самостоятельности, как умение правильно называть произведение (фамилию автора и заглавие), самостоятельно определять жанр и тему прочитанного,

выявлять авторскую точку зрения и выражать свою.

Включать учащихся в эмоционально – творческую деятельность, связанную с читаемым стихотворением.

3.Обогащать читательский опыт и интерес детей через систему упражнений с литературным произведением. Воспитывать интерес к литературному чтению.

Тип урока: урок применения знаний и умений.

Скачать:

Вложение Размер
nauchno-populyarnye_rasskazy._l.n._tolstoy._cherepaha.doc 52.5 КБ

Предварительный просмотр:

Тема: «Научно-популярные рассказы». Л.Н. Толстой. «Черепаха».

Цели урока : 1.Продолжать знакомить учащихся с творчеством Л.Н. Толстого

2.Учить самостоятельно формулировать тему и цели урока.

Способствовать формированию таких основ читательской самостоятельности, как умение правильно называть произведение (фамилию автора и заглавие), самостоятельно определять жанр и тему прочитанного,

выявлять авторскую точку зрения и выражать свою.

Включать учащихся в эмоционально – творческую деятельность, связанную с читаемым стихотворением.

3.Обогащать читательский опыт и интерес детей через систему упражнений с литературным произведением. Воспитывать интерес к литературному чтению.

Тип урока: урок применения знаний и умений.

Учебник : Ефросинина Л.А. Литературное чтение: Учебная хрестоматия для 4 класса.

Рабочая тетрадь для учащихся общеобразовательных учреждений: Ефросинина Л.А. Литературное чтение: 4 класс:

Выставочный стенд с книгами Л.Н. Толстого.

Карандаши, листочки для моделирования обложки. Компьютерная презентация урока.

Карточки для самостоятельного целеполагания и рефлексии.

Ход урока (45 минут):

  1. Вступительное слово учителя(3 минуты):

-Сейчас мы с вами убедимся в том, что произведения Л.Н. Толстого известны каждому из вас с детства. Я буду читать строки из домашнего произведения, а вы его заканчиваете:

Дети слушают учителя.

Дети заканчивают каждое задание:

2.Самостоятельное целеполагание и формулирование темы (4 минуты):

-Прежде, чем мы начнём работать, ответьте мне на такой вопрос: какие желания вы бы хотели исполнить на уроке?

Учитель предлагает для составления «Табло желаний» следующие карточки: Хочу: -слушать; -играть; -читать; -узнавать новое; -рассуждать;

-решать задачи; – выделять орфограммы; -рассказывать.

-Это наши желания. А каковы возможности? Можем ли мы сразу выполнить свои желания? Почему?

– Если вы внимательно посмотрите на табло с нашими желаниями, то сможете самостоятельно сформулировать и тему урока.

Обучающиеся выбирают из предложенных учителем карточки с названиями действий, которые хотели бы совершать на уроке.

-Не можем, потому что не знаем тему урока.

Дети догадываются, что прямоугольник – это «заместитель» жанра произведения. Самостоятельно формулируют тему урока:

– Мы будем работать с произведениями Л.Н. Толстого

3.Подготовка к восприятию произведения (2 минуты):

– Послушайте научно-популярный рассказ Л.Н. Толстого «Черепаха».

-Что вы представляете, когда слушаете произведение?

Учащиеся высказывают свои мысли, передают ощущения, делятся впечатлениями.

4.Слушание (2 минуты):

Учитель читает научно-популярный рассказ Л.Н. Толстого «Черепаха».

Дети слушают чтение учителя, при этом их книги закрыты.

5.Выявление первичного восприятия(2 минуты):

– Понравилось вам произведение? Почему?

Ученики высказывают своё мнение.

6.Работа с содержанием произведения(3 минуты):

– Постарайтесь представить и высказать ваши детские ощущения.

– Подумайте, почему научно-популярный рассказ Л.Н. Толстого так озаглавлен? Что такое научно-популярный рассказ?

Ученики высказывают своё мнение.

7. Релаксация. Музыкальная пауза (3 минуты):

Дети исполняют песню «Чему учат в школе»

8.Моделирование обложки и работа с готовой моделью (11 минут):

– Что я вам читала?

-Правильно, это басня. Поставим на листочке «заместитель»- прямоугольник. О ком этот рассказ?

– Закрасим прямоугольник в коричневый цвет.

– Имя и фамилию автора вы знаете: это Лев Николаевич

– Покажите фамилию автора.

– Прочитайте фамилию автора: Толстой

-Прочитайте название произведения.

– Теперь, когда мы закончили моделировать обложки, на нашей выставке появилась ещё одна книга, в которой каждая страничка – это ваша работа. (Учитель собирает модели и стиплером соединяет в общую книжечку, обложка которой выполнена учителем.)

-Где эта книга была создана?

Обучающиеся отвечают, что сказка.

Дети определяют, что сказка о людях.

Обучающиеся показывают «заместитель» в верхней части модели обложки).

Дети показывают «заместитель» и читают название научно-популярный рассказ Л.Н. Толстого «Черепаха».

Обучающиеся отвечают: « В городе Белгороде. В МБОУСОШ № 35».

9. Рекомендации для самостоятельной работы (1 минута):

– Сегодня на уроке вы побывали в роли слушателей, создателей книги. Хотите побыть ещё и иллюстраторами? Вы сможете попробовать свои силы в этом роде деятельности дома и нарисовать иллюстрацию к прослушанному произведению.

10. Рефлексия(3 минуты)

-Сейчас мы превратим «Табло наших желаний» в «Табло результатов» урока. Прикрепите, пожалуйста, к центральной фигуре

У меня получилось: слушать, читать, рассказывать, анализировать,…

Заполняют «Табло результатов» (примерно)

По теме: методические разработки, презентации и конспекты

Презентация у уроку литературного чтения по ОС “Начальная школа XXI века”. Л.Н.Толстой “Черепаха”, “Заяц-русак”.

Урок литературного чтения в 3 классе по УМК “Планета знаний”. Тема урока: Работа с научно – популярной статьей «Лошадь». Данный урок является четырнадцатым уроком литературного чтения раздела «О совес.

В данном разделе опубликована статья Горбачевой О. В. “Мы разные, мы вместе”.

Подготовка к комплексным работам в 4 классе.

Учимся анализировать научно-популярный рассказ и отличать его от художественного рассказа.

Уроки литературного чтения с использованием литературных средств, методов и приемов по развитию критического мышления учащихся

Тема: Л.Н. Толстой. Акула. 4-й класс («Начальная школа 21 века»)

Цели: развитие читательских умений.

Задачи урока:

  • познакомить учащихся с произведениями Л.Н. Толстого “Акула”; пробудить познавательную активность.
  • работать над осознанностью чтения, над развитием читательских умений;
  • расширять кругозор учащихся, развивать речь, наблюдательность, умение анализировать прочитанное; развивать критическое мышление;
  • воспитывать эмоциональную отзывчивость к прочитанному, к героям и их поступкам, любовь к близким.

Оборудование: портрет писателя, иллюстрации с изображением акулы, компьютер, проектор, экран, печатные листы с биографией автора (Приложение 1), презентация.

Ход урока

Задача нашего урока – продолжить работать над развитием читательских умений, значит, будете читать, рассуждать, анализировать.

Методический прием “Корзина понятий”.

-Вы узнали кто это?

-Глядя на портрет писателя, что вы можете сказать об этом человеке? Какие ассоциации возникли? Слайд 1.

Л.Н. Толстой – писатель – рассказы – басни – сказки – были – былины – разножанровый — о детях – о природе – о Родине – художественный – вызывает чувства, научно-познавательный – сообщает факты

-Проведем логические цепочки (по записям). Слайд 2.

2. Проверка домашнего задания:

– С каким произведением Вы работали дома?

-Для всех учащихся – самостоятельная работа в парах.

Задание: выполнить тест по произведению “Черепаха” в машинном варианте. Слайд 3.

1. Автор произведения “Черепаха”:

б) Алексей Толстой;

2. Определить жанр произведения “Черепаха”:

3. Рассказ “Черепаха”:

4. Подле леса Мильтон :

б) стал торопиться лапами рыть яму;

в) начал искать, поднял уши и стал принюхиваться.

а) ползла черепаха, величиною с блюдечко;

б) бежала небольшая черепаха, величиною с шапку;

в) двигалась большая черепаха.

6. Когда черепаха увидала собаку, она :

а) спрятала ноги и голову и опустилась на траву;

б) побежала и спряталась в траве;

в) спрятала голову и замерла от страха.

7. Мильтон не мог прокусить её, потому что :

а) стало жаль черепаху;

б) я отнял черепаху;

в) у черепахи на брюхе скорлупа, как и на спине.

8. Черепахи живут :

б) на земле и в воде, как ужи и лягушки;

9. Детей они выводят :

10. Черепахи кладут яйца :

а) на земле, и не высиживают их;

б) в гнезде, и высиживают их;

Гимнастика для глаз.

Проверка по образцу на экране. Слайд 4.

– У кого такой же ответ?

Ключ: 1-в, 2-а, 3-б, 4-в, 5-б, 6-а, 7-в, 8-б, 9-в, 10-а.

–На ваших мониторах запечатлены отметки. Я их перенесу в журнал и в дневник. Спасибо за работу.

Рассказать подробно сведения о черепахе из произведения по плану.

1.Внешний вид черепахи.

3. Среда обитания.

4. Размножение черепах.

Вывод Рассказ “Черепаха” научно-познавательный. В нем автор сообщает информацию о черепахе, её жизни, о видах черепах.

-Надо ли детям читать такие рассказы? Что хотел передать Л.Н.Толстой?

3. Метод “Чтение с пометами”.

-Все ли знаете об этом писателе?

При чтении биографии карандашом выставлять пометки на полях. Слайд 5.

а) Самостоятельное чтение автобиографии (у каждого печатные листы) с пометами.

-Что узнали нового?

Вывод: Продолжим изучение произведений писателя.

4. Работа над новым материалом.

Методический прием “Предположение”.

-Мы продолжим чтение произведений Л.Н.Толстого.

Посмотрите на рисунок, определите тему рассказа (демонстрация на экране – рисунок акулы). Слайд 7.

Тема: о животных.

-Как бы Вы озаглавили?

-Что знаете об этих животных? После высказываний ребят – сюжет об акулах. Слайд 8.

-Какая это информация? Почему? (научно-познавательная, сообщает факты)

-Что может произойти в рассказе с таким названием?

Чтение учителем. Методический прием “Чтение с остановками (2 остановки).

Задание до чтения: (Слайд 9)

1. Определить, какой это рассказ?

2. Ответить на вопрос: Что поразило?

Чтение 1 части с.4 – 5 по 7 абзац. (Но ребята не слыхали его, плыли дальше, смеялись и кричали ещё веселее и громче прежнего.)

Методический приём “Дерево предсказаний” – слайд 10

Групповая работа. (На столах карточки с заданием).

Подумайте и дайте ответы на вопросы.

1. Что будет дальше?

2. Чем закончится текст?

3. Как могут развиваться события?

Дети обмениваются идеями, распределяют деятельность в группе по “Дереву предсказаний”.

-Озвучить свои мысли (по 1 ученику на 1 вопрос).

-У кого другой вариант?

Чтение 2 части с.6 абзац 6 (Раздался выстрел:) – 1, 2 ученика

-Какие у Вас возникли чувства?

– Что произойдет дальше?

Чтение текста про себя до конца.

5. После чтения рассказа. Мозговой штурм. Слайд 11.

-Совпали ли предположения?

– Какой это рассказ?

-Расскажите, что переживали во время чтения?

-Уже в названии есть что-то тревожное, предчувствуешь – что-то случится.

– Как понимаете выражения? (затем толкование открыть) Слайд 12.

Артиллерист – военнослужащий артиллерии – огнестрельного орудия (пушки, миномёты). (Словарь С.И.Ожегова)

Фитиль – горючий шнур для воспламенения зарядов, для передачи огня на расстояние при производстве взрывов. (Словарь С.И.Ожегова)

Ропот – недовольство, выражаемое в приглушённой форме, негромкими голосами. (Словарь С.И.Ожегова)

6. Повторное аналитическое чтение по частям, составление плана (образы героев)

-Разделите текст на части. Одинаковое ли настроение в них?

-На какие части можно разделить текст? Слайд 13.

Выбрать на слайде (14), какой литературный прием использует автор в произведении? (описание)

-Прочитайте, как Л.Н. Толстой описывает погоду, настроение людей.

-Какой знакомый литературный приём вы увидели в описании?

(Сравнение “. и, точно из топленной печки, несло на нас горячим воздухом с пустыни Сахары”.)

-Что же вызвало тревогу? Зачитать эпизод.

-Какой знакомый литературный приём вы увидели? Противопоставление.

Название части Настроение
1.Купальня в парусе. Спокойное
2.Мальчики в открытом море. Волнение
3.Акула. Тревога, страх
4.Выстрел. Ужас
5.Дети спасены. Радость и облегчение

Чтение, сопровождается построением схемы. Слайды 15-16.

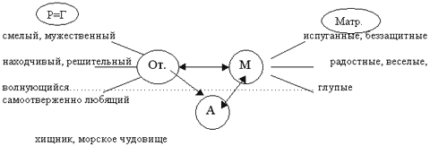
-Лев Толстой заставил пережить нас и тревогу, и беспокойство, и волнение, которые переходят в страх, а в конце рассказа – радость и облегчение.

-Какой момент в рассказе самый напряжённый? Почему вы так считаете?

Всегда ли напряжение показано с помощью восклицательного знака?

-А кто является главным героем рассказа? Почему?

Рассказать обо всех переживаниях отца.

-Проследим по тексту действия и состояние.

-Мужественный ли он человек?

-Что пережил артиллерист за короткое купание мальчиков?

(Оцепенел от ужаса, потом действовал решительно, смело и находчиво. Он не мог справиться со своим волнением, горем, если бы попал в ребят.

Он упал у пушки, поднялся, когда понял, что опасность миновала.)

-Как вы оцениваете поступок капитана?

-Какие качества характера проявились у капитана?

-А как бы вы поступили на месте отца?

-Что двигало им? (любовь к ближнему)

-О ком нам стоило еще поговорить?

-А как ведут себя матросы на палубе?

-Какие приемы использовал автор, чтобы показать картины жизни?

(Слова передают: действия, звуки, цвет, запах)

-Что хотелось бы сказать о произведении?

(Короткий рассказ, но картин и чувств много. Звуковое кино. Переживают не только герои, но и читатели. А главное и важное в его рассказах – это не только изображение событий, а изображение характеров героев, их внутреннего мира.)

-Сравните его с произведением “Прыжок”.

(В “Акуле” лучше показано состояние отца, в другом – мальчика.

В характере отца – смелость, умение действовать и не теряться.

Сходство – место действия, переживания, настроение, отец спасает сына.)

-Почему так озаглавлен текст?

-Что хотел автор донести до читателей этим произведением?

Итог: составление “синквейна”. Слайды 17-18.

  1. Написать имя существительное по теме.
  2. 2 имени прилагательных
  3. 3 слова-действия
  4. Предложение
  5. Слово-смысл темы. (Любовь.)

Домашнее задание: чтение с.4 – 6 подготовить рассказ об отце мальчика по плану или подробный пересказ текста – слайд 19.

: «Научно-популярные рассказы». Л.Н. Толстой. «Черепаха».
план-конспект занятия по чтению (4 класс) на тему

Цели урока: 1.Продолжать знакомить учащихся с творчеством Л.Н. Толстого

2.Учить самостоятельно формулировать тему и цели урока.

Способствовать формированию таких основ читательской самостоятельности, как умение правильно называть произведение (фамилию автора и заглавие), самостоятельно определять жанр и тему прочитанного,

выявлять авторскую точку зрения и выражать свою.

Включать учащихся в эмоционально – творческую деятельность, связанную с читаемым стихотворением.

3.Обогащать читательский опыт и интерес детей через систему упражнений с литературным произведением. Воспитывать интерес к литературному чтению.

Тип урока: урок применения знаний и умений.

Скачать:

Вложение Размер
nauchno-populyarnye_rasskazy._l.n._tolstoy._cherepaha.doc 52.5 КБ

Предварительный просмотр:

Тема: «Научно-популярные рассказы». Л.Н. Толстой. «Черепаха».

Цели урока : 1.Продолжать знакомить учащихся с творчеством Л.Н. Толстого

2.Учить самостоятельно формулировать тему и цели урока.

Способствовать формированию таких основ читательской самостоятельности, как умение правильно называть произведение (фамилию автора и заглавие), самостоятельно определять жанр и тему прочитанного,

выявлять авторскую точку зрения и выражать свою.

Включать учащихся в эмоционально – творческую деятельность, связанную с читаемым стихотворением.

3.Обогащать читательский опыт и интерес детей через систему упражнений с литературным произведением. Воспитывать интерес к литературному чтению.

Тип урока: урок применения знаний и умений.

Учебник : Ефросинина Л.А. Литературное чтение: Учебная хрестоматия для 4 класса.

Рабочая тетрадь для учащихся общеобразовательных учреждений: Ефросинина Л.А. Литературное чтение: 4 класс:

Выставочный стенд с книгами Л.Н. Толстого.

Карандаши, листочки для моделирования обложки. Компьютерная презентация урока.

Карточки для самостоятельного целеполагания и рефлексии.

Ход урока (45 минут):

  1. Вступительное слово учителя(3 минуты):

-Сейчас мы с вами убедимся в том, что произведения Л.Н. Толстого известны каждому из вас с детства. Я буду читать строки из домашнего произведения, а вы его заканчиваете:

Дети слушают учителя.

Дети заканчивают каждое задание:

2.Самостоятельное целеполагание и формулирование темы (4 минуты):

-Прежде, чем мы начнём работать, ответьте мне на такой вопрос: какие желания вы бы хотели исполнить на уроке?

Учитель предлагает для составления «Табло желаний» следующие карточки: Хочу: -слушать; -играть; -читать; -узнавать новое; -рассуждать;

-решать задачи; – выделять орфограммы; -рассказывать.

-Это наши желания. А каковы возможности? Можем ли мы сразу выполнить свои желания? Почему?

– Если вы внимательно посмотрите на табло с нашими желаниями, то сможете самостоятельно сформулировать и тему урока.

Обучающиеся выбирают из предложенных учителем карточки с названиями действий, которые хотели бы совершать на уроке.

-Не можем, потому что не знаем тему урока.

Дети догадываются, что прямоугольник – это «заместитель» жанра произведения. Самостоятельно формулируют тему урока:

– Мы будем работать с произведениями Л.Н. Толстого

3.Подготовка к восприятию произведения (2 минуты):

– Послушайте научно-популярный рассказ Л.Н. Толстого «Черепаха».

-Что вы представляете, когда слушаете произведение?

Учащиеся высказывают свои мысли, передают ощущения, делятся впечатлениями.

4.Слушание (2 минуты):

Учитель читает научно-популярный рассказ Л.Н. Толстого «Черепаха».

Дети слушают чтение учителя, при этом их книги закрыты.

5.Выявление первичного восприятия(2 минуты):

– Понравилось вам произведение? Почему?

Ученики высказывают своё мнение.

6.Работа с содержанием произведения(3 минуты):

– Постарайтесь представить и высказать ваши детские ощущения.

– Подумайте, почему научно-популярный рассказ Л.Н. Толстого так озаглавлен? Что такое научно-популярный рассказ?

Ученики высказывают своё мнение.

7. Релаксация. Музыкальная пауза (3 минуты):

Дети исполняют песню «Чему учат в школе»

8.Моделирование обложки и работа с готовой моделью (11 минут):

– Что я вам читала?

-Правильно, это басня. Поставим на листочке «заместитель»- прямоугольник. О ком этот рассказ?

– Закрасим прямоугольник в коричневый цвет.

– Имя и фамилию автора вы знаете: это Лев Николаевич

– Покажите фамилию автора.

– Прочитайте фамилию автора: Толстой

-Прочитайте название произведения.

– Теперь, когда мы закончили моделировать обложки, на нашей выставке появилась ещё одна книга, в которой каждая страничка – это ваша работа. (Учитель собирает модели и стиплером соединяет в общую книжечку, обложка которой выполнена учителем.)

-Где эта книга была создана?

Обучающиеся отвечают, что сказка.

Дети определяют, что сказка о людях.

Обучающиеся показывают «заместитель» в верхней части модели обложки).

Дети показывают «заместитель» и читают название научно-популярный рассказ Л.Н. Толстого «Черепаха».

Обучающиеся отвечают: « В городе Белгороде. В МБОУСОШ № 35».

9. Рекомендации для самостоятельной работы (1 минута):

– Сегодня на уроке вы побывали в роли слушателей, создателей книги. Хотите побыть ещё и иллюстраторами? Вы сможете попробовать свои силы в этом роде деятельности дома и нарисовать иллюстрацию к прослушанному произведению.

10. Рефлексия(3 минуты)

-Сейчас мы превратим «Табло наших желаний» в «Табло результатов» урока. Прикрепите, пожалуйста, к центральной фигуре

У меня получилось: слушать, читать, рассказывать, анализировать,…

Заполняют «Табло результатов» (примерно)

По теме: методические разработки, презентации и конспекты

Презентация у уроку литературного чтения по ОС “Начальная школа XXI века”. Л.Н.Толстой “Черепаха”, “Заяц-русак”.

Урок литературного чтения в 3 классе по УМК “Планета знаний”. Тема урока: Работа с научно – популярной статьей «Лошадь». Данный урок является четырнадцатым уроком литературного чтения раздела «О совес.

В данном разделе опубликована статья Горбачевой О. В. “Мы разные, мы вместе”.

Подготовка к комплексным работам в 4 классе.

Учимся анализировать научно-популярный рассказ и отличать его от художественного рассказа.

Технологическая карта урока открытия новых знаний по литературному чтению «Научно – познавательные рассказы. Л.Н. Толстой «Черепаха»»

Технологическая карта урока открытия новых знаний по литературному чтению

Предмет: литературное чтение.

Тема: Научно – познавательные рассказы. Л.Н. Толстой «Черепаха».

Тип урока: урок открытия нового знания.

Дидактическая цель: создать условия для осознания и осмысления детьми новой информации о творчестве Л.Н. Толстого.

сформировать представление о жанрах произведений Л.Н. Толстого;

ввести понятие «научно – популярный рассказ»;

самостоятельно выделять познавательную цель урока и формулировать проблему;

уметь перерабатывать полученную информацию: находить ответы на вопросы, используя свой жизненный опыт;

самостоятельно создавать способ решения проблемы творческого характера;

называть произведения Л.Н. Толстого и определять их жанр;

использовать выразительные средства языка для понимания произведений;

выразительно читать эпизоды из рассказа, выражая отношение к героям;

сотрудничать в решении проблемы творческого характера;

уметь с достаточной полнотой и точностью выражать свои мысли;

выделять и осознавать то, что уже усвоено и что еще подлежит усвоению.

повторить правила работы в группе, обратить особое внимание обучающихся на бережное отношение к природе.

самоопределение и эмоционально-ценностная ориентация.

Методы обучения: деятельностный, словесный, проблемный.

Форма организации познавательной деятельности: фронтальная, парная, групповая.

Для учителя: литературное чтение, 4 класс, 2 часть, Л.А. Ефросинина; презентация, компьютер, выставочный стенд с книгами Л.Н. Толстого.

Для обучающихся: литературное чтение, 2 класс, 2 часть, Л.А. Ефросинина; рабочая тетрадь для учащихся общеобразовательных учреждений Ефросинина Л.А. Литературное чтение 4 класс, карандаши, листочки для проведения групповой работы, кубик Блума, , карточки для самостоятельного целеполагания и рефлексии.

1. Мотивация (самоопределение) к учебной деятельности Организационный момент

Приятно видеть вас, ребята! Улыбнитесь, подарите очаровательную улыбку гостям, соседу. Присаживаемся. Итак,

Начинается урок, он пойдет ребятам впрок,

Постарайтесь все понять, учитесь тайны открывать,

Ответы полные давать

Чем необычно расположение парт в классе?

Как мы будем сегодня работать?

Учитель организует повторение правил работы в группах:

умей выслушать каждого;

приди к единому мнению;

Подготовка класса к работе.

Правил работы в группах:

умей выслушать каждого;

приди к единому мнению;

планирование учебного сотрудничества с учителем и сверстниками (К)

2. Актуализация знаний и фиксация затруднения в деятельности

Выявляет уровень знаний.

Определяет типичные недостатки.

Методический прием «Корзина сведений».

-Вы узнали кто это?

– Соберём сведения о нём, факты из биографии Л.Н.

Выполняют задание, тренирующее отдельные способности к учебной деятельности, мыслительные операции и учебные навыки.

умение оформлять свои мысли в устной форме (П, К)

умение доказывать свою точку зрения, участвовать в коллективном обсуждении (П, К)

поиск и выделение необходимой информации; применение методов информационного поиска (П)

осознанное и произвольное построение речевого высказывания в устной форме (К)

рефлексия способов действия, контроль и оценка процесса и результатов деятельности (Р)

определение основной и второстепенной информации (П)

знаково-символическая деятельность (П)

владение монологической и диалогической формами речи в соответствии с грамматическими и синтаксическими нормами родного языка (П, К)

анализ схемы, перевод информации из одной формы в другую (П)

выявление причинно-следственных связей (

3. Выявление места и причины затруднений (постановка учебной задачи)

Активизирует знания учащихся. Составление «Кластера»:

Л.Н. Толстой – писатель – рассказы (ОБРАЩАЮ ВНИМАНИЕ на стенд)– басни – сказки – были – былины –

-С какой басней вы знакомились на прошлом уроке? Давайте вспомним её. Нам в этом поможет волшебный Куб Блума. Учитель бросает кубик. Выпавшая грань укажет: какого типа вопрос следует задать. Удобнее ориентироваться по слову на грани куба — с него и должен начинаться вопрос. Будем работать в группах.

Создаёт проблемную ситуацию.

Формулируют (уточняют) тему урока.

адекватное восприятие критики в свой адрес (Л)

проявление познавательной инициативы (Л)

умение обобщить и сделать вывод (П)

самоопределение к деятельности (Л)

определение круга своего незнания (П)

корректное участие в общем обсуждении (К)

4. Построение проекта выхода из затруднения

Все одеты черепашки

В неудобные рубашки.

Тяжело в таких рубашках

Бегать, прыгать черепашкам.

Организует учащегося по исследованию проблемной ситуации. Продолжим работу. Рассказы бывают художественные. Они вызывают чувства н-р, «Акула», а ещё какие рассказы писал Л.Н.? СФОРМУЛИРУЙТЕ ЦЕЛЬ УРОКА. ЧТО МЫ ДОЛЖНЫ УЗНАТЬ? А для того, чтобы узнать тему урока, отгадайте загадку. Тема урока. Откройте учебник на с.15.

При чтении рассказа вам встретятся малознакомые слова.

Аршин – старинная русская мера длины, равная 71 см

Пуд – старинная русская мера веса, равная 16 кг 580г

Пользуясь словарями каждая группа находит значение слов . Теперь приступаем к чтению с пометами (или «Инсерт»). : При чтении рассказа карандашом выставлять пометки над незнакомыми словами

– Какие особенности есть в этом рассказе? Рассказ

Л.Н.Толстого «Черепаха» содержит сведения (факты) о черепахе, её жизни, о видах черепах. Это научно-популярный (научно-познавательный) рассказ. Обратимся к научному источнику на с.17 учебника.

Составляют план достижения цели и определяют средства (алгоритм, модель).

Дети работают со словарями.

Читают, выделяют особенности.

При чтении делают пометки, затем после объяснения удалите ластиком.

умение формулировать тему и цель урока

анализ своих впечатлений (Л, П, Р, К)

определение необходимых источников информации (П)

работа в отведенное время по группам с текстом учебника, энциклопедиями (по выбору) (П, Р, К)

анализ, структурирование по-лученной информации (П,Р)

установление связей между используемыми понятиями и прошлым опытом детей (П)

умение формулировать вывод по итогам деятельности (П)

определение круга своего незнания (Л, П, Р, К ) умение оформлять свои мысли в устной форме (П, К)

умение доказывать свою точку зрения, участвовать в коллективном обсуждении (П, К)

поиск и выделение необходимой информации; применение методов информационного поиска (П)

осознанное и произвольное построение речевого высказывания в устной форме (К)

рефлексия способов действия, контроль и оценка процесса и результатов деятельности (Р)

определение основной и вто-ростепенной информации (П)

знаково-символическая деятельность (П)

владение монологической и диалогической формами речи в соответствии с грамматическими и синтаксическими нормами родного языка (П, К)

освоение умений проводить наблюдения в природе (П, Р)

5. Реализация построенного проекта

6. Первичное закрепление с проговариванием во внешней речи.

Устанавливает осознанность ситуации. Какие научные факты, сведения вы узнали из рассказа?

Обсуждение. Воспитательный момент: бережное отношение к природе Выборочное чтение Выполним задание (№3, 4),

Решают типовые задания

с проговариванием алгоритма вслух

– анализ, синтез, сравнение, обобщение, аналогия, классификация (П);

– поиск необходимой информации (П);

– моделирование и преобразование моделей разных типов (предметы, схемы, знаки и т.д.) (П);

– осознанное и произвольное построение речевого высказывания (П);

– нравственно-этическое оценивание усваиваемого содержания (Л);

– выражение своих мыслей с достаточной полнотой и точность (К);

– учёт разных мнений, координирование в сотрудничестве разных позиций (К)

– подведение под понятие (П);

7. Самостоятельная работа с самопроверкой по эталону.

Гимнастика для глаз.

Организует деятельность по применению новых знаний. Индивидуальная работа. Задание: Выполнить тест по произведению «Черепаха»

Проверка по образцу на экране.

Самостоятельное оценивание. 5 + -«5»

Самостоятельная работа в форме теста, осуществляют взаимопроверку, пошагово сравнивая с эталоном.

анализ, синтез, сравнение, обобщение, аналогия, оценивание (П);

использование знаково-символических средств (П);

8.Включение в систему знаний и повторение

Будем учиться применять

новые знания. Работа в группах. У каждой – своё задание. Обсуждение мнений.

Осуществляет повторение в группе.

анализ, синтез, сравнение, обобщение, аналогия (П);

– поиск необходимой информации (П);

– моделирование и преобразование моделей разных типов (предметы, схемы, знаки и т.д.) (П);

– осознанное и произвольное построение речевого высказывания (П);

9. Рефлексия учебной деятельности
на уроке

Метод «Шесть шляп»

Итак, сейчас каждый из Вас «наденет» шляпу и поразмышляет шестью разными способами.

Метод «Воздушные шарики»

Каждый ученик подходит к своему шарику и накладывает сверху тучу, если у него возникли трудности в восприятии материала и наоборот, накладывает шарик на тучу, если его опасения были напрасны.

Оценка результата: преобладание шариков над тучами позволяет сделать вывод о том, что урок был плодотворным, интересным и цели были достигнуты.

Дом. задание по выбору, инструкция по выполнению,

Отметки за работу.

Осуществляет самопроверку собственной учебной деятельности, соотносят цель и результаты, степень их соответствия.

Коммуникативные: умение с достаточной полнотой и точностью выражать свои мысли;

Светлова Арина/ автор статьи

Арина Светлова — русская писательница и куратор творческих проектов, посвятившая себя теме вдохновения как живой силы, меняющей мышление и судьбы. Она объединяет в себе поэта, эссеиста и исследователя внутреннего мира человека. В прошлом — редактор литературного журнала и организатор камерных арт-фестивалей, где помогала авторам находить собственный голос. На сайте «Мир вдохновения» Арина делится авторскими текстами, практиками для раскрытия креативности и наблюдениями о том, как идеи рождаются из тишины, опыта и воображения. Её экспертность лежит на стыке литературы, психологии творчества и культурных исследований, благодаря чему материалы сайта звучат глубоко, тепло и по-настоящему живо.

Понравилась статья? Поделиться с друзьями:
Мир вдохновения
Добавить комментарий

;-) :| :x :twisted: :smile: :shock: :sad: :roll: :razz: :oops: :o :mrgreen: :lol: :idea: :grin: :evil: :cry: :cool: :arrow: :???: :?: :!: